Нүүр хуудас
Мэдээ мэдээлэл
Цаг үеийн мэдээ
Захирамж, тушаал
Өргөдөл гомдлын мэдээ
Сумын тухай
Танилцуулга
Багууд
Түүхэн замнал
Алдартнууд
Нэрэмжит шагнал
Байгууллагууд
Хэрлэн тохижилт үйлчилгээ ОНӨААТҮГ
ИТХ
Засаг дарга
Засаг дарга
Засаг даргын орлогч
Үе үеийн засаг дарга нар
Тамгын газар
Засаг даргын тамгын газрын дарга
Мэргэжилтнүүд
Засаг даргын тамгын газрын үйл ажиллагаа
Ил тод байдал
Авлигатай тэмцэх газар
Худалдан авах ажиллагаа
Хүний нөөц
Төсөв санхүү
Шилэн данс
Харилцах хаяг
Цэс
Нүүр хуудас
Мэдээ мэдээлэл
Цаг үеийн мэдээ
Захирамж, тушаал
Өргөдөл гомдлын мэдээ
Сумын тухай
Танилцуулга
Багууд
Түүхэн замнал
Алдартнууд
Нэрэмжит шагнал
Байгууллагууд
Хэрлэн тохижилт үйлчилгээ ОНӨААТҮГ
ИТХ
Засаг дарга
Засаг дарга
Засаг даргын орлогч
Үе үеийн засаг дарга нар
Тамгын газар
Засаг даргын тамгын газрын дарга
Мэргэжилтнүүд
Засаг даргын тамгын газрын үйл ажиллагаа
Ил тод байдал
Авлигатай тэмцэх газар
Худалдан авах ажиллагаа
Хүний нөөц
Төсөв санхүү
Шилэн данс
Харилцах хаяг
© 2026. Хэрлэн сум - Дорнод аймаг
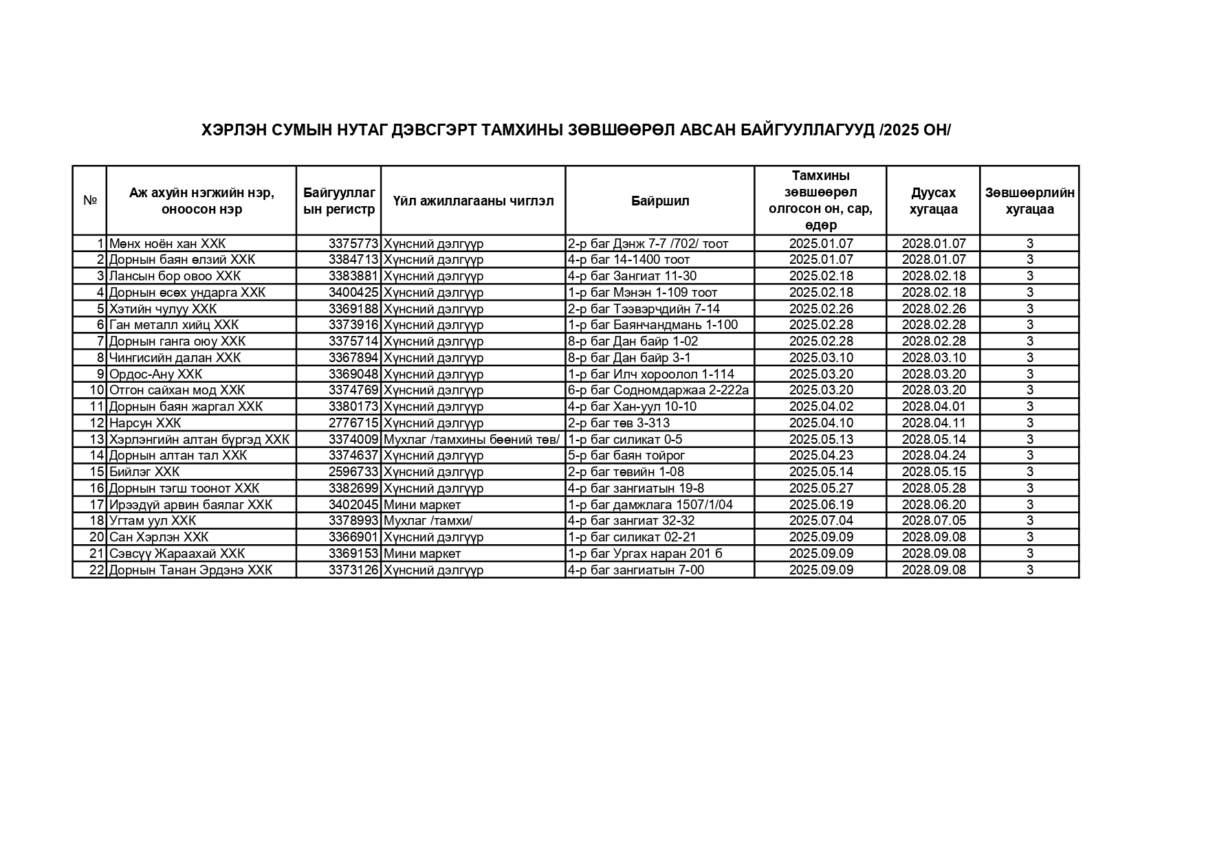
ХЭРЛЭН СУМЫН ХЭМЖЭЭНД ТАМХИНЫ ЗӨВШӨӨРӨЛ АВСАН ИРГЭН, АЖ АХУЙ НЭГЖ, БАЙГУУЛЛАГЫН МЭДЭЭЛЭЛ /2025.09.26/
2025.09.26
Хуваалцах:
Бусад
ТАМХИНЫ ЗӨВШӨӨРӨЛТЭЙ БАЙГУУЛЛАГУУД
2025.12.18
ХӨГЖЛИЙН БЭРХШЭЭЛТЭЙ ИРГЭД БОЛОН ТЭДНИЙ АСРАН ХАМГААЛАГЧИДТАЙ УУЛЗАЛТ ЗОХИОН БАЙГУУЛЖ, ТУЛГАМДАЖ БУЙ АСУУДЛЫН ТАЛААР ХЭЛЭЛЦЛЭЭ
2025.12.02
“ҮЗЭСГЭЛЭН ХУДАЛДАА” ЗОХИОН БАЙГУУЛАГДАЖ БАЙНА.
2025.11.24
ТӨРИЙН ҮЙЛЧИЛГЭЭНИЙ ЧАНАР, ХҮРТЭЭМЖИЙГ НЭМЭГДҮҮЛЭХ ЗОРИЛГООР СУМЫН ЗАСАГ ДАРГЫН ТАМГЫН ГАЗРЫН 11 БАГИЙН ЗОХИОН БАЙГУУЛАГЧИД СҮХБААТАР АЙМГИЙН ЗАСАГ ДАРГЫН ТАМГЫН ГАЗРЫН ҮЙЛ АЖИЛЛАГААТАЙ ТАНИЛЦАЖ, ТУРШЛАГА СОЛИЛЦОХ УУЛЗАЛТ ЗОХИОН БАЙГУУЛЖ БАЙНА
2025.11.24
ХҮН АМ, ОРОН СУУЦНЫ ТООЛЛОГО-2025 ЯВАГДАЖ БАЙНА.
2025.11.19